压缩空气储能地下内衬硐库设计的核心理念是充分利用岩体的强度形成硬壳层,即密封层的变形约束体,密封层环向可以充分变形,仅起到密封作用,或承担可以忽略的荷载。因此围岩要吸收到空气膨胀压力,围岩的变形、强度和完整性至关重要。在岩石内衬硐库地下工程中,地表是唯一的临空面,当埋深过浅时,上覆岩体的自重和岩体强度抵抗不了内压荷载时,将可能发生上覆岩体隆起破坏从而造成硐库失效。另一方面,增加埋深能够避免这种破坏,但过于保守的设计也会给工程带来经济上的负担。也就是说,上覆岩体稳定性与安全埋深是硐库稳定性要解决的关键问题之一。
为此,中国科学院武汉岩土力学研究所计算岩石力学研究团队针对地下内衬硐库这一大型高压容腔上覆岩体稳定性问题,建立了二维隧道式和三维大罐式上覆岩体潜在破裂面求解方法和安全系数计算方法,并提出了安全系数控制标准,量化了硐库失效模式与埋深关系,为工程设计提供了安全埋深的理论依据。主要研究成果如下:1) 基于岩体极限应力场和Mohr-Coulomb 准则,将潜在破裂面的求解问题归结为常微分方程的初值问题,并建立了求解框架,确定了起裂角和破裂角;2)构建了适用于隧道式地下硐库上覆岩体滑裂面的锥体模型;3)建立了更普适的内衬洞库极限受力状态下的被动岩土压力抗剪力学模型(隧道式和大罐式)和安全系数求解方法;4)厘清了地下内衬硐库的失效模式与埋深关系,提出了安全埋深的确定方法,讨论了安全系数控制标准。
研究成果发表于《中国科学:技术科学》、《土木工程学报》、《岩石力学与工程学报》、《岩土力学》等期刊,被中国电力工程顾问集团西北电力设计院有限公司、中铁隧道局集团有限公司等十余家单位应用于工程实践或前期方案研究。研究工作得到了国家自然科学基金项目(12302507)、湖北省自然科学基金重点项目(2022CFD031、2024AFD361)、宁夏回族自治区重点研发项目(2024ZDYF0965)等项目资助。

图1 隧道式硐库上覆岩体锥体破坏模式与安全系数计算方法

图2 大罐式硐库上覆岩体破坏模式分析

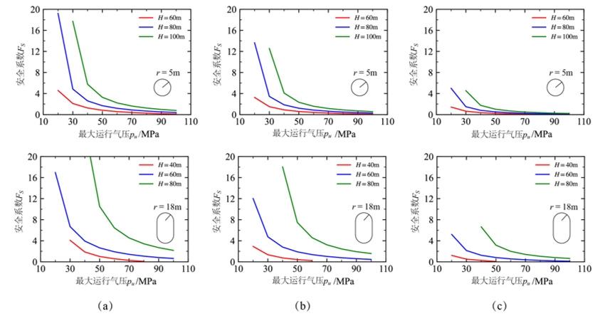
图3 不同级别围岩地下内衬硐库安全系数分析

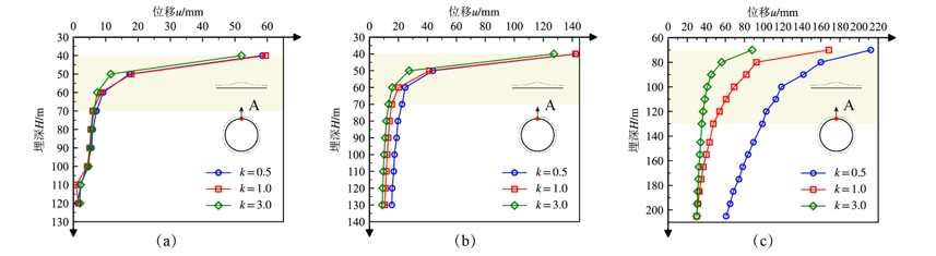
图4 在不同岩体和不同水平地应力下安全埋深确定

图5 压缩空气储能电站隧道式地下内衬硐库安全埋深计算